# 动手深度学习-Pytorch版
# 前言
中文文档地址 (opens new window),可下载代码
目前学习的部分章节,直观地感受是,本书注重于描述模型的抽象结构、以及公式推导。每种模型讲的都不深,但是面面俱到,可以作为机器学习的通识类读物。书中的代码经过验证也都是可运行的,但都是碎片化的案例,可以让学到机器学习程序的基本结构,缺乏工程化的机器学习框架思路。
# 预备知识
# Jupyter Notebook
Jupyter Notebook是一款开源的交互式计算工具,主要用于创建包含实时代码、富文本、数学公式、图表、可视化等内容的文档(文件扩展名为 .ipynb)
使用方法:
- 下载安装
pip3 install notebook
- 进入ipynb资源目录,运行notebook
jupyter notebook
- 打开浏览器,http://localhost:8888/tree


# 如何在conda环境运行jupyter呢?
- base 环境安装jupyter
activate base
conda install jupyter jupyterlab
- 在目标环境安装内核
conda activate myproject
conda install ipykernel # 安装内核
python -m ipykernel install --user --name myproject --display-name "Python (myproject)" # 注册为jupyter 可选kernel
- 在base环境运行
jupyter lab # 功能更丰富的网页端
# 或者
jupyter notebook

# 数据操作
- torch基础操作
x = torch.arange(12) # 创建张量
x.shape # 查看张量形状
x.numel() # 查看元素数量
X = x.reshape(3,4) # 改变张量形状
torch.zeros((2,3,4)) # 用0初始化
torch.ones((2,3,4)) # 用1初始化
torch.randn(3,4) # 用随机数初始化
torch.tensor([[2,1,4,3],[1,2,3,4],[4,3,2,1]]) # 用嵌套列表初始化
- 运算符
常见的标准运算符(+、-、*、/、**)可以升级为按元素运算,
x = torch.tensor([1.0,2,4,8])
y = torch.tensor([2,2,2,2])
x+y,x-y,x*y,x/y,x**y
torch.exp(x) # 包括计算指数
X==Y # 通过逻辑运算符构建张量
X.sum() # 对张量所有元素进行求和
张量连接
X = torch.arange(12,dtype=torch.float32).reshape(3,4)
Y = torch.tensor([[2.0,1,4,3],[1,2,3,4],[4,3,2,1]])
torch.cat((X,Y),dim=0) # 沿行的方向拼接
torch.cat((X,Y),dim=1) # 沿列的方向拼接
- 广播机制
a = torch.arange(3).reshape(3,1) # a为3行1列
b = torch.arange(2).reshape(1,2) # b为1行2列
a + b # a复制列,b复制行,然后按元素相加
- 索引和切片
X[-1],X[1:3] # 最后一个元素, 第二个元素和第三个元素
X[1:2] = 9 # 指定索引来写入矩阵
X[0:2, :] = 12 # 第一行、第二行赋值为12 :表示沿轴1的所有元素
- 节省内存
before = id(Y) # id()获取内存中对象的地址
Y = Y + X # Y 内存引用地址已经变化
id(Y) == before
原地操作
>>> Z = torch.zeros_like(Y)
>>> id(Z)
2337955335120
>>>
>>> Z[:] = X + Y
>>> id(Z)
2337955335120
>>> before = id(X)
>>> X += Y
>>> id(X) == before
True
- 转换为其他python对象
torch与numpy数组共享底层内存
>>> A = X.numpy()
>>> B = torch.tensor(A)
>>> type(A),type(B)
(<class 'numpy.ndarray'>, <class 'torch.Tensor'>)
大小为1的张量与Python标量转换
>>> a = torch.tensor([3.5])
>>> a,a.item(),float(a),int(a)
(tensor([3.5000]), 3.5, 3.5, 3)
# 线性代数
- 标量
import torch
x = torch.tensor(3.0)
y = torch.tensor(2.0)
x + y, x * y, x / y, x**y
- 向量
x = torch.arange(4)
- 矩阵
A = torch.arange(20).reshape(5, 4)
A.T
- 张量
X = torch.arange(24).reshape(2, 3, 4)
# 概率论



看到103页了
# 线性神经网络
# 多层感知机
# 深度学习计算
# 卷积神经网络
# 现代卷积神经网络
# 循环神经网络(下次看)
循环神经网络(recurrent neural networks,RNNS),是具有隐状态的神经网络。
隐藏层是在从输入到输出的路径上隐藏的层,隐状态是在给定步骤所做的任何事情的输入,并且这些状态只能拿通过先前时间步的数据来计算。
# 梯度问题
1、梯度爆炸:反向传播过程中,梯度在逐层传递时出现“趋近于无穷大”的极端情况
核心原因:权重矩阵的谱范数(权重值的平均大小)> 1,且激活函数导数的绝对值 ≥ 1
2、梯度消失:反向传播过程中,梯度在逐层传递时出现“趋近于0”的极端情况
核心原因:激活函数导数的绝对值<1,权重矩阵谱范数<=1
3、梯度裁剪:将梯度g投影回给定半径的球
解决方案:
- 有限使用ReLU及其变体
- 避免使用sigmoid/tanh(深层网络中)
# 现代循环神经网络
# 门控循环单元GRU

GRU可以更好的捕获时间步距离很长的序列上的依赖关系。
重置门有助于捕获序列中的短期依赖关系。
更新门有助于捕获序列中的长期依赖关系。
重置们打开时,门控循环单元包括基本循环神经网络;更新们打开时,门控循环单元可以跳过子序列。
# 长短期记忆网络LSTM

长短期记忆网络有三种类型的门:输入门、遗忘门、输出门。
长短期记忆网络的隐藏层输出包括“隐状态”和“记忆元”。只有隐状态会传递到输出层,而记忆元完全属于内部信息。
长短期记忆网络可以缓解梯度消失和梯度爆炸。
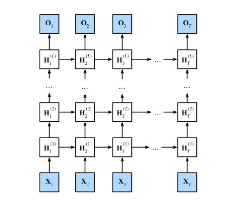
# 深度循环神经网络

深度循环神经网络中,隐状态的信息北传递到当前层的下一时间步和下一层的当前时间步。
深度循环神经网络需要大量的调参来确保收敛,模型的初始化也需要谨慎。
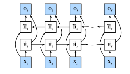
# 双向循环神经网络

双向循环神经网络,每个时间步的隐状态由当前时间步的前后数据同时决定
双向循环神经网络与概率图模型的“前向-后向”算法具有相似性。
双向循环神经网络主要用于序列编码和给定双向上下文的观测估计。
由于梯度链更长,因此训练代价非常高。
# 机器翻译与数据集
机器翻译是指将序列从一种语言自动翻译成另一种语言。
# 编码器-解码器架构

“编码器-解码器”架构可以将长度可变的序列作为输入和输出,因此适用于机器翻译等序列转换问题。
编码器将长度可变的序列作为输入,并将其转换为固定形状的编码状态。
解码器将具有固定形状的编码状态映射为长度可变的序列。
# 序列到序列学习seq2seq

使用RNN-Encoder和RNN-decoder的seq2seq学习
# 注意力机制
具体可参考知乎的一篇文章 (opens new window)
# 注意力提示
非自主性提示是基于环境中物体的突出性和易见性。假如面前有五个物品:一份报纸、一篇研究论文、一杯咖啡、一本笔记本和一本书。所有纸质品都是黑白印刷的,单咖啡杯是红色的。咖啡杯在环境中就会比较显眼,不由自主地引起人们注意。
喝咖啡后,我们会变得兴奋并且想读书,所以转过头,重新聚焦眼睛,然后看看书。此时选择书是收到了认知和意识的控制。
在注意力的背景下,自主性提示被称为查询(query)。给定任何查询,注意力机制通过注意力汇聚,将选择引导至感官输出。在注意力机制中,这些感官输出被称为值(value),每个值与一个**键(key)**对应,可以想象为感官输入的非自主性提示。
注意力机制通过注意力汇聚,将查询(自主性提示)和键(非自主性提示)结合到一起,实现对值的选择倾向。
采用平均汇聚:

# 注意力汇聚
Nadaraya-Watson核回归模型 $$ f(x) = \sum_{i=1}^{n} \frac{K(x - x_i)}{\sum_{j=1}^{n} K(x - x_j)} y_i, $$ K是核(kernel),按注意力机制框架重写 $$ f(x) = \sum_{i=1}^{n} \alpha(x, x_i) y_i $$ x是查询,(xi,yi)是键值对,注意力汇聚是yi的加权平均。x和键xi之间的关系建模称为注意力权重。模型的所有键值对注意力权重非负,总和为1.
考虑一个高斯核: $$ K(u) = \frac{1}{\sqrt{2\pi}} \exp(-\frac{u^2}{2}). $$ 带入以上公式得到: $$ f(x) = \sum_{i=1}^{n} \alpha(x, x_{i}) y_{i} = \sum_{i=1}^{n} \frac{\exp(-\frac{1}{2}(x - x_{i})^{2})}{\sum_{j=1}^{n} \exp(-\frac{1}{2}(x - x_{j})^{2})} y_{i} = \sum_{i=1}^{n} \mathrm{softmax}\left(-\frac{1}{2}(x - x_{i})^{2}\right) y_{i}. $$ 如果一个键xi越是接近查询x,那么分配给这个键对应值yi的注意力权重就会越大。


# 注意力评分函数
将注意力汇聚的输出计算可以作为值的加权平均,选择不同的注意力评分函数会带来不同的注意力汇聚操作。
当查询和键是不同长度的矢量时,可以使用加性注意力评分函数。当它们长度相同时,使用缩放点积注意力评分函数计算效率更高
# Bahdanau注意力
# 多头注意力
# Transformer(要重点看)
知乎Transformer介绍文章 (opens new window)
# 阅读进度
目前读到了注意力机制的后半小节,后面需要再看看循环神经网络部分。
← Pytorch学习记录 机器学习入门-鱼书 →